1frakci/o JED
frakcio
VdE
- 1.
Nombro, prezentita kiel
kvociento de entjero `a`
(la numeratoro)
per nenula entjero `b`
(la denominatoro);
simb. a/b (legu: a sur bo):
norma, vera MatVort
aŭ
propra frakcio
(kies denominatoro estas pli granda ol la numeratoro en
absoluta valoro: ½ ktp);
nenorma PIV1
aŭ nepropra frakcio
PIV2
(kies numeratoro estas ne malpli granda
ol la denominatoro en absoluta valoro:
5/3,
7/7 ktp);
reduktebla frakcio
MatVort
(kies numeratoro kaj denominatoro havas komunan
divizoron pli grandan ol `1`:
4/12,
8/4 ktp);
nereduktebla frakcio
MatVort
(kies numeratoro kaj denominatoro estas inter si
primaj);
miksa frakcio PIV1
aŭ frakcia nombro PIV2
(konsistanta el entjera kaj frakcia partoj,
ekz-e 2½ ktp).
ono
kvocienta frakcio
pozicia frakcioRim.: Por ĉi tiu nocio Bricard [1] proponis la formon „fracio“, kiu ne enradikiĝis.Rim.: La tradicia matematika lingvaĵo ne rigore distingas inter la skribaĵo montranta dividon de numeratoro per denominatoro, kaj la racionala nombro rezultanta el tia divido. Depende de la vidpunktoj eblas do diri, ke 1/2 kaj 2/4 estas identaj aŭ ne. En pli rigora lingvaĵo oni nomas frakcio la paron `(p,q)` kaj racionala nombro la ekvivalento-klason de ĉiuj tiaj frakcioj `(P,Q)`, ke `pQ=Pq`.Rim.: La maniero, laŭ kiu oni kreis la korpon de racionalaj nombroj surbaze de la ringo de entjeroj, estas aplikebla ankaŭ al aliaj ringoj (ekz-e la polinomringoj): la tiel konstruita korpo nomiĝas frakcikorpo de la koncerna ringo.- 2.
Parto de materiaĵo, kiun analiza operacio apartigas
pro iu ĝia propreco.
- a)
Substanco apartigita per ĥemia procedo:
la acidaj, neŭtralaj kaj bazaj aminoacidoj, aperas ĉe la
malsupra finaĵo de la kolono kaj kolektiĝas en aŭtomataj
frakcio-kolektiloj
[2].
- b)
Tuto de grundaj eroj, kiujn grajnanalizo apartigis
en sama klaso de diametroj:
oni difinas la sablofrakcion de grundo
kiel la partiklojn, kies diametro varias
de 2.0 ĝis 0.02 mm
[3].
- 3.
Organizita grupo de samopiniantoj ene de
politika
partio
aŭ parlamento:
la Komunista Frakcio de SAT akceptas la
tutan statuton kaj regularon de SAT
[4];
ambaŭ influhavaj frakcioj malfidas kaj timas unu la alian
[5];
elekto de ministroj el ambaŭ frakcioj en Nord-Irlando
(la porbrita uniista kaj la irlanda respublikista)
[6];
nur frakcio (ono1)
de la esperantistaro disponas pri konoj de la germana
[7].
1.
Raoul Bricard: Matematika Terminaro kaj Krestomatio, p. 7
2. I. E. Gál: Pri la analizo de proteinoj el nutradologia vidpunkto, Scienca Revuo, 1978:2 (130), p. 61a-70a
3. W. F. Rolt: El la Polvo de la Tero, 1967
4. -: Regularo de la Komunista Frakcio, Sennaciulo, 1996-11, p. 112a
5. IRL: Monato, Irlando: Karuselo de seniluziiĝo
6. IRL: Monato, Irlando: Ĉu paŝoj al paco?, 2000/06, p. 7
7. Monato, Saĝa kapo duonvorton komprenas, 2000/06, p. 33
2. I. E. Gál: Pri la analizo de proteinoj el nutradologia vidpunkto, Scienca Revuo, 1978:2 (130), p. 61a-70a
3. W. F. Rolt: El la Polvo de la Tero, 1967
4. -: Regularo de la Komunista Frakcio, Sennaciulo, 1996-11, p. 112a
5. IRL: Monato, Irlando: Karuselo de seniluziiĝo
6. IRL: Monato, Irlando: Ĉu paŝoj al paco?, 2000/06, p. 7
7. Monato, Saĝa kapo duonvorton komprenas, 2000/06, p. 33
- afrikanse:
- breuk
- albane:
- fraksion
- amhare:
- ክፍልፋይ
- angle:
- fraction propra ~o: proper fraction. nepropra ~o: improper fraction. reduktebla ~o: cancellable fraction. nereduktebla ~o: reduced fraction. miksa ~o: mixed fraction. 3. faction
- arabe:
- جزء
- armene:
- կոտորակ
- azerbajĝane:
- fraksiya
- beloruse:
- 1. дроб propra ~o: дроб правільны. nepropra ~o: дроб няправільны. reduktebla ~o: дроб скарачальны. nereduktebla ~o: дроб нескарачальны. miksa ~o: дроб мяшаны. 2. фракцыя 3. фракцыя, частка
- bengale:
- ভগ্নাংশ
- birme:
- အစိတ်အပိုင်း
- bosne:
- frakcija
- ĉeĥe:
- díl z množství, zlomek
- ĉine:
- 3. 議會黨團 [yìhuìdǎngtuán], 餾分 [liùfēn], 組分 [zǔfèn], 派別 [pàibié]
- dane:
- fraktion
- estone:
- fraktsioon
- eŭske:
- frakzio
- filipine:
- maliit na bahagi
- france:
- 1. fraction propra ~o: fraction propre. nepropra ~o: fraction impropre. reduktebla ~o: fraction réductible. nereduktebla ~o: fraction irréductible. miksa ~o: nombre fractionnaire composé. 3. faction (politique), groupe (politique), courant (politique), fraction (politique)
- galege:
- fracción
- germane:
- 1. Bruch propra ~o: echter Bruch. nepropra ~o: unechter Bruch. reduktebla ~o: kürzbarer Bruch. nereduktebla ~o: gekürzter Bruch. miksa ~o: gemischter Bruch. 3. Fraktion, Kreis
- guĝarate:
- અપૂર્ણાંક
- haitie:
- fraksyon
- haŭse:
- murabba’i
- hinde:
- अंश
- hispane:
- fracción propra ~o: fracción propia. nepropra ~o: fracción impropia.
- igbe:
- akụkụ
- irlande:
- chodán
- islande:
- brot
- japane:
- 分数 [ぶんすう]
- jave:
- sekedhik
- jide:
- בראָכצאָל
- jorube:
- ida
- kanare:
- ಕ
- kartvele:
- ფრაქცია
- katalune:
- fracció, porció 1. fracció matemàtica propra ~o: fracció pròpia. nepropra ~o: fracció impròpia. reduktebla ~o: fracció reductible. nereduktebla ~o: fracció irreductible. miksa ~o: nombre mixt. 3. grup, moviment
- kazaĥe:
- фракциясы
- kimre:
- ffracsiwn
- kirgize:
- бөлчөк
- kmere:
- ប្រភាគ
- koree:
- 분수
- korsike:
- fraction
- kose:
- iqhezu
- kroate:
- razlomak
- latine:
- fractionem
- latve:
- daļa
- laŭe:
- ແຕ່ສ່ວນຫນຶ່ງ,
- litove:
- frakcija
- makedone:
- дел
- malagase:
- ampahany
- malaje:
- pecahan
- malajalame:
- അംശം
- malte:
- frazzjoni
- maorie:
- hautanga
- marate:
- अपूर्णांक
- monge:
- feem
- mongole:
- хэсэг
- nederlande:
- 1. breuk (wisk.) propra ~o: echte breuk. nepropra ~o: onechte breuk. 3. fractie (pol.)
- nepale:
- अंश
- njanĝe:
- kachigawo
- okcidentfrise:
- fraksje
- panĝabe:
- ਬਾਗ
- paŝtue:
- کسر
- pole:
- 1. ułamek propra ~o: ułamek właściwy. nepropra ~o: ułamek niewłaściwy. reduktebla ~o: ułamek skracalny, ułamek przywiedlny. nereduktebla ~o: ułamek nieskracalny, ułamek nieprzywiedlny. miksa ~o: ułamek mieszany, liczba mieszana.
- portugale:
- propra ~o: fração. 3. facção
- ruande:
- agace
- ruse:
- 1. дробь propra ~o: правильная дробь. nepropra ~o: неправильная дробь. reduktebla ~o: сократимая дробь. nereduktebla ~o: сокращённая дробь. miksa ~o: смешанная дробь. 3. фракция
- samoe:
- vaega
- sinde:
- تعريف
- sinhale:
- භාගය
- skotgaele:
- bloigh
- slovake:
- zlomok, časť z množstva
- slovene:
- frakcija
- somale:
- jajab
- ŝone:
- hacho
- sote:
- karoloana
- sunde:
- fraksi
- svahile:
- sehemu
- taĝike:
- њиссаи
- taje:
- ส่วน
- tamile:
- பகுதி
- tatare:
- фракция
- telugue:
- భిన్నం
- ukraine:
- частка
- urdue:
- حصہ
- uzbeke:
- kasr
- vjetname:
- phần
- zulue:
- ingxenyenamba
frakcia
Rilata al frakcio:
- angle:
- fractional
- beloruse:
- фракцыйны
frakciigi
(tr)
Dividi en frakciojn:
apartigi,
fragmenti,
rafini1
Dividi en frakciojn:
- 2:
- ĉe la pacientoj de la unua grupo estis aplikita frakciigita gama-terapio, celita sur la areon de lieno [10].
- 3:
- politikaj principoj […] frakciigas la laboristojn je la nomo de nova flago de la emancip[ado] [11].
apartigi,
fragmenti,
rafini110.
E. Drezen (tr. N. Hohlov, N. Nekrasov): Ĉeĥa
Esperanto-Asocio Medicinistaj informoj (Num. 3), 1980, Aktinoterapio ĉe Kronikaj Medololeŭkozoj
11. Internacia Laborist-asocio Informa Bulteno (II-a jaro, Num. 11, 10 Dec 1937), Nur la Sindikatoj Venkos la Faŝismon
11. Internacia Laborist-asocio Informa Bulteno (II-a jaro, Num. 11, 10 Dec 1937), Nur la Sindikatoj Venkos la Faŝismon
- angle:
- fraction (tr), fragment (tr)
- beloruse:
- фракцыяніраваць, вылучаць фракцыі
- ĉeĥe:
- frakcionovat, vytvářet frakce (v pol. straně)
- ĉine:
- 分餾 [fēnliú], 瓜分 [guāfēn]
- germane:
- fragmentieren
- hispane:
- fraccionar
- katalune:
- fraccionar, dividir, segmentar
- slovake:
- vytvárať frakcie
frakciiĝi
-
Apartiĝi en frakciojn:
la malforta movado frakciiĝis je progresemuloj […] kaj konservativuloj
[12].
apartiĝi,
dividiĝi,
fragmentiĝi
12.
E. Drezen (tr. N. Hohlov, N. Nekrasov): Historio
de la Mondolingvo (dua eldono, 1931), p 199
- angle:
- become fragmented
- beloruse:
- дзяліцца на фракцыі, раздрабняцца
- germane:
- sich fragmentieren
frakcistreko
- angle:
- forward slash, fraction bar
- beloruse:
- рыса дробу
- ĉeĥe:
- zlomková čára
- ĉine:
- 分数线 [fēnshùxiàn], 分線 [fènxiàn]
- france:
- barre de fraction
- germane:
- Bruchstrich
- katalune:
- barra
- nederlande:
- breukstreep
- pole:
- kreska ułamkowa
- ruse:
- черта дроби
- slovake:
- zlomková čiara
algebra frakcio
MatVort
- Skribaĵo, prezentanta dividon de du algebraj esprimoj kunigitaj per frakcistreko: `f(1-2i)/(n+1!)` estas algebra frakcio.
- angle:
- algebraic fraction
- beloruse:
- дроб альгебраічны
- ĉeĥe:
- algebraický zlomek
- france:
- fraction algébrique
- germane:
- algebraischer Bruch
- hebree:
- שבר אלגברי
- hispane:
- fracción algebráica
- katalune:
- fracció algèbrica
- nederlande:
- algebraïsche breuk
- pole:
- ułamek algebraiczny
- ruse:
- алгебраическая дробь
- slovake:
- algebrický zlomok
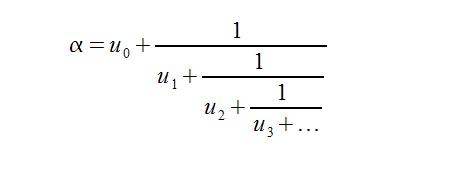
ĉenfrakcio PIV1 , ĉena frakcio PIV2

-
Vico `u`
de nenulaj pozitivaj entjeroj,
konsiderata
kune kun la vico `v`, kies `n`-a
termo estas
`v_n=u_0+(u_1+(...+(u_n)^-1...)^-1)^-1`:
ĉenfrakcion oni ofte signas per skribaĵo de la tipo
`u_0+(u_1+(u_2+...)^(-1))^(-1)`,
tipografie prezentata kiel „pluretaĝa“
frakcio;
por ĉiu racionalo ekzistas unika elvolvaĵo en
finian ĉenfrakcion (la konsiderata nombro egalas al la
lasta termo de la responda vico `v`);
ĉiuj reelaj nombroj estas prezenteblaj kiel regularaj ĉenaj
frakcioj,
racionalaj nombroj estas prezenteblaj per finiaj frakcioj,
neracionalaj per nefiniaj
[14].
por ĉiu transcenda reelo ekzistas unika elvolvaĵo en
nefinian ĉenfrakcion (la konsiderata nombro egalas al la
limeso de `v`);
la ĉenfrakcio
`1+(1+(1+...)^-1)^-1`
„egalas“ al la
ora dispartigo.
Rim.: La termino jam ekzistas ĉe Bricard [15], sed sub la formo „ĉenfracio“.

- angle:
- continued fraction
- beloruse:
- дроб ланцуговы, дроб непарыўны
- france:
- fraction continue
- germane:
- Kettenbruch, kontinuierlicher Bruch
- hebree:
- שבר שרשרת
- katalune:
- fracció contínua
- pole:
- ułamek łańcuchowy, ułamek ciągły
- ruse:
- цепная дробь, непрерывная дробь
- ukraine:
- ланцюговий дріб
kvocienta frakcio

- Frakcio prezentita per numeratoro kaj denominatoro (kontraste al pozicia frakcio): al la dekuma 0,75 respondas la duuma 0,11 (samkiel la dekuma kvocienta frakcio ¾) [16].
- angle:
- common fraction, vulgar fraction
- beloruse:
- дроб просты
- ĉeĥe:
- podílový zlomek
- france:
- fraction ordinaire
- germane:
- gewöhnlicher Bruch
- katalune:
- fracció (nombre fraccionari), nombre trencat
- nederlande:
- gewone breuk
- pole:
- ułamek zwykły
- ruse:
- простая дробь
- slovake:
- podielový zlomok
n-uma frakcio

- Pozicia frakcio laŭ bazo `n`: `"0,349"=349/1000` estas dekuma frakcio; `356/512`, prezentebla en duuma nombrosistemo per la numeralo 0,1011001, estas duuma frakcio.
- angle:
- n-ary fraction, n-adic fraction dekuma ~o: decimal fraction, decimal number, decimal. duuma ~o: dyadic fraction.
- beloruse:
- dekuma ~o: дроб дзесятковы. duuma ~o: дроб двайковы.
- france:
- dekuma ~o: nombre décimal, fraction décimale. duuma ~o: nombre dyadique, nombre binaire à virgule.
- germane:
- dekuma ~o: Dezimalbruch, Dezimalzahl. duuma ~o: binärer Bruch.
- katalune:
- dekuma ~o: nombre decimal, fracció decimal. duuma ~o: nombre fraccionari binari.
- nederlande:
- dekuma ~o: tiendelige breuk, decimale breuk.
- pole:
- dekuma ~o: ułamek dziesiętny. duuma ~o: ułamek dwójkowy.
- ruse:
- dekuma ~o: десятичная дробь. duuma ~o: двоичная дробь.
pozicia frakcio


-
(laŭ bazo
`n`)
n-uma prezento
de reelo, precipe se ĝi ne estas entjero:
en la komputiloj estas uzataj duumaj [...]
poziciaj frakcioj, tiel al la dekuma 0,75 respondas la duuma
0,11
[17];
se pozicia frakcio konsistas el finia nombro `p` de
ciferoj `c_i`, ĝi
prezentas
racionalon, prezenteblan ankaŭ per kvocienta frakcio kun
denominatoro `n^p`;
perioda pozicia frakcio (senfina pozicia
frakcio,
kies „vosto“ konsistas el unu sama cifergrupo senfine
ripetiĝanta).
reelo;
n-uma frakcio.
ono.
- angle:
- systematic fraction perioda pozicia ~o: periodic fraction.
- beloruse:
- perioda pozicia ~o: дроб пэрыядычны.
- ĉeĥe:
- poziční zlomek
- france:
- fraction systématique (à base b) perioda pozicia ~o: fraction périodique.
- germane:
- systematischer Bruch (zur Basis b) perioda pozicia ~o: periodischer Bruch.
- katalune:
- nombre decimal (amb una part entera i una fraccionària)
- pole:
- perioda pozicia ~o: ułamek okresowy.
- ruse:
- систематическая дробь perioda pozicia ~o: периодическая дробь.
- slovake:
- pozičný zlomok
racionala frakcio

-
Elemento en la frakcikorpo de
polinomringo:
la racionala frakcio `bb 1 / bb X` estas la
ekvivalento-klaso de ĉiuj tiaj polinom-paroj
`(bb P,bb Q)`, ke
`bb P xx bb X=bb Q`.
Rim.: La epiteto „racionala“ resendas al la maniero konstrui la aron de racionalaj nombroj, sed tiun nocion oni povus nomi ankaŭ „polinoma frakcio“. Same kiel oni ofte ne distingas inter polinomoj kaj polinomaj funkcioj, oni en nerigora lingvaĵo identigas racionalajn frakciojn kun racionalaj funkcioj.
- angle:
- rational fraction
- beloruse:
- дроб рацыянальны
- france:
- fraction rationnelle
- germane:
- rationaler Bruch
- katalune:
- fracció racional
- ruse:
- рациональная дробь
administraj notoj
pri
~o 1.:
n-uma ~o: Mankas dua fontindiko.
n-uma ~o: Mankas fonto, kiu estas nek vortaro nek terminaro.
racionala ~o: Mankas dua fontindiko.
racionala ~o: Mankas fonto, kiu estas nek vortaro nek terminaro.
Mi ne trovis pravigon por la terminoj "propra ~o" kaj
"nepropra ~o" krom en PIV2. MatVort havas
"vera" kaj "nenorma", PIV1 havas nur "nenorma", sen
konsideri „partumo“, kiu ankaux signifas „norma frakcio“.
Tiom granda hxaoso por absolute senutila nocio sxajnas troa.
[MB]
pri
~igi:
PIV1 uzas ~i cxi-sence. Cetere tia senco bazigxas sur alia
senco de ~o, nome „parto“. [MB]
algebra ~o:
Mankas fonto, kiu estas nek vortaro nek terminaro.
n-uma ~o: Mankas dua fontindiko.
n-uma ~o: Mankas fonto, kiu estas nek vortaro nek terminaro.
racionala ~o: Mankas dua fontindiko.
racionala ~o: Mankas fonto, kiu estas nek vortaro nek terminaro.